
4、ConcurrentLinkedQueue非阻塞无界链表队列
ConcurrentLinkedQueue是一个线程安全的队列,基于链表结构实现,是一个无界队列,理论上来说队列的长度可以无限扩大。
与其他队列相同,ConcurrentLinkedQueue也采用的是先进先出(FIFO)入队规则,对元素进行排序。 (推荐学习:java面试题目)
当我们向队列中添加元素时,新插入的元素会插入到队列的尾部;而当我们获取一个元素时,它会从队列的头部中取出。
因为ConcurrentLinkedQueue是链表结构,所以当入队时,插入的元素依次向后延伸,形成链表;而出队时,则从链表的第一个元素开始获取,依次递增;
值得注意的是,在使用ConcurrentLinkedQueue时,如果涉及到队列是否为空的判断,切记不可使用size()==0的做法,因为在size()方法中,是通过遍历整个链表来实现的,在队列元素很多的时候,size()方法十分消耗性能和时间,只是单纯的判断队列为空使用isEmpty()即可。
public class ConcurrentLinkedQueueTest {
public static int threadCount = 10;
public static ConcurrentLinkedQueue queue = new ConcurrentLinkedQueue();
static class Offer implements Runnable {
public void run() {
//不建议使用 queue.size()==0,影响效率。可以使用!queue.isEmpty()
if (queue.size() == 0) {
String ele = new Random().nextInt(Integer.MAX_VALUE) + "";
queue.offer(ele);
System.out.println("入队元素为" + ele);
}
}
}
static class Poll implements Runnable {
public void run() {
if (!queue.isEmpty()) {
String ele = queue.poll();
System.out.println("出队元素为" + ele);
}
}
}
public static void main(String[] agrs) {
ExecutorService executorService = Executors.newFixedThreadPool(4);
for (int x = 0; x executorService.submit(new Offer());
executorService.submit(new Poll());
}
executorService.shutdown();
}
}
一种输出:
入队元素为313732926
出队元素为313732926
入队元素为812655435
出队元素为812655435
入队元素为1893079357
出队元素为1893079357
入队元素为1137820958
出队元素为1137820958
入队元素为1965962048
出队元素为1965962048
出队元素为685567162
入队元素为685567162
出队元素为1441081163
入队元素为1441081163
出队元素为1627184732
入队元素为1627184732
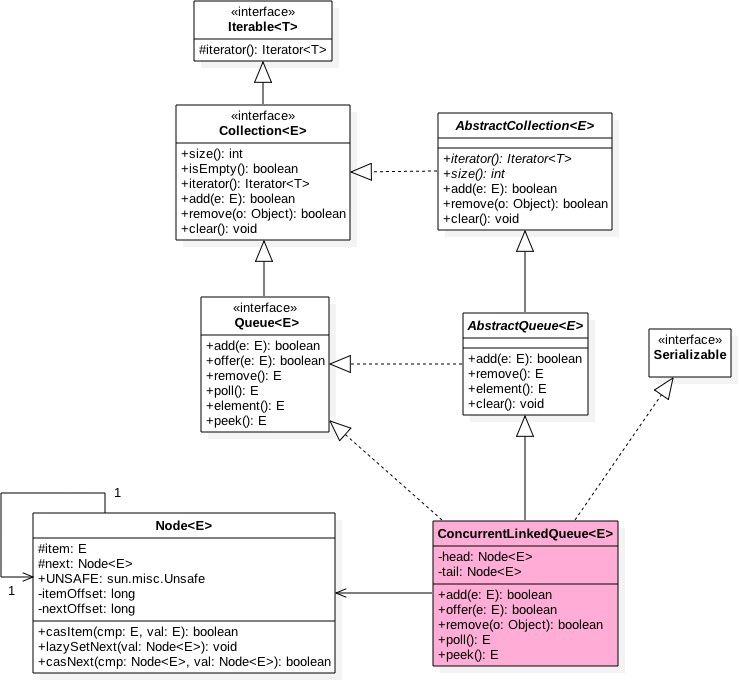
ConcurrentLinkedQuere类图

如图ConcurrentLinkedQueue中有两个volatile类型的Node节点分别用来存在列表的首尾节点,其中head节点存放链表第一个item为null的节点,tail则并不是总指向最后一个节点。
Node节点内部则维护一个变量item用来存放节点的值,next用来存放下一个节点,从而链接为一个单向无界列表。
public ConcurrentLinkedQueue(){
head=tail=new Node(null);
}
如上代码初始化时候会构建一个 item 为 NULL 的空节点作为链表的首尾节点。
Offer 操作offer 操作是在链表末尾添加一个元素,
下面看看实现原理。
public boolean offer(E e) {
//e 为 null 则抛出空指针异常
checkNotNull(e);
//构造 Node 节点构造函数内部调用 unsafe.putObject,后面统一讲
final Node newNode = new Node(e);
//从尾节点插入
for (Node t = tail, p = t; ; ) {
Node q = p.next;
//如果 q=null 说明 p 是尾节点则插入
if (q == null) {
//cas 插入(1)
if (p.casNext(null, newNode)) {
//cas 成功说明新增节点已经被放入链表,然后设置当前尾节点(包含 head,1,3,5.。。个节点为尾节点)
if (p != t)// hop two nodes at a time
casTail(t, newNode); // Failure is OK. return true;
}
// Lost CAS race to another thread; re-read next
} else if (p == q)//(2)
//多线程操作时候,由于 poll 时候会把老的 head 变为自引用,然后 head 的 next 变为新 head,所以这里需要
//重新找新的 head,因为新的 head 后面的节点才是激活的节点
p = (t != (t = tail)) ? t : head;
else
// 寻找尾节点(3)
p = (p != t && t != (t = tail)) ? t : q;
}
}
从构造函数知道一开始有个item为null的哨兵节点,并且head和tail都是指向这个节点。
爱分享




